im电竞
页面
大
小
配色
无
字
字
字
字
辅助线
开
重置
简体版 |
繁体版
无障碍
长者专区
支持IPv6
智能问答
集
im电竞平台
政府信息公开
新闻动态
网上办事
互动交流
交通统计
专题专栏
21205849
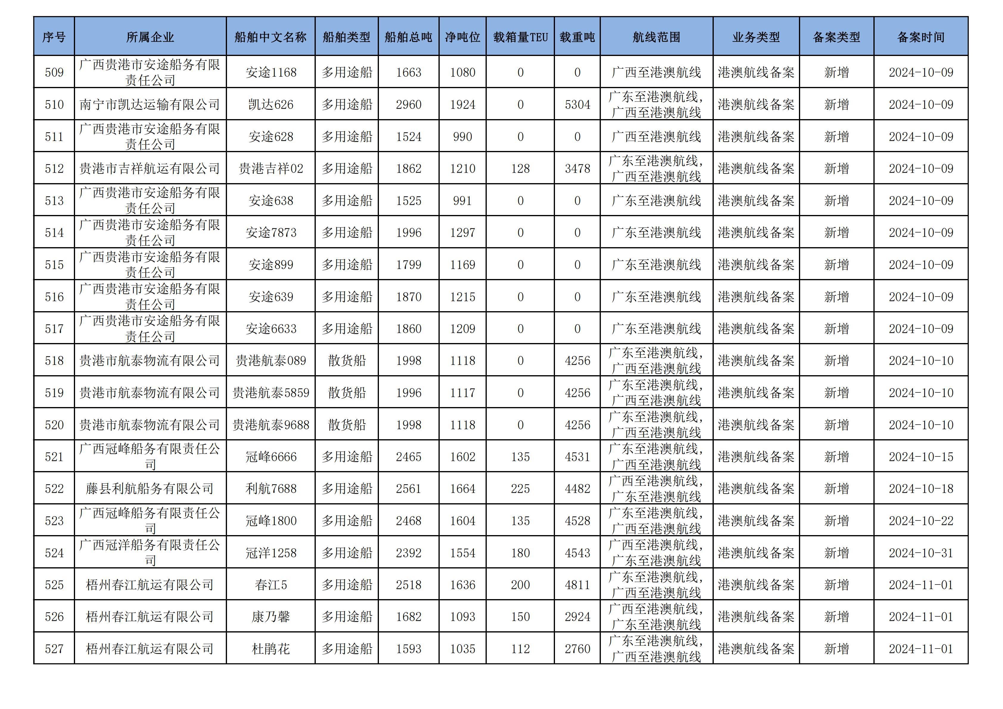
截至2025年6月16日在交通运输部水路运输建设综合管理信息系统完成备案的港澳航线水路运输船舶
20
im电竞app
2025-06-16
112394
内地与港澳普通货物运输企业查询
当前位置:
im电竞
>
关于我们
>
从业资质证件查询
>
内地与港澳普通货物运输企业查询
截至2025年6月16日在交通运输部水路运输建设综合管理信息系统完成备案的港澳航线水路运输船舶
2025-06-16 19:09 来源:im电竞app
分享
微信
头条
微博
空间
qq
【字体:
大
中
小
】
打印
文件下载:
截至2025年6月16日在交通运输部水路运输建设综合管理信息系统完成备案的港澳航线水路运输船舶.pdf
关联文件:
重点网站
全国交通系统网站
自治区政府网站
直属单位网站
区内交通子站
中国政府网
im电竞-im电竞app-im电竞平台
中华人民共和国交通运输部
北京市交通委员会
天津市交通运输委员会
河北省交通运输厅
山西省交通运输厅
内蒙古im电竞
辽宁省交通厅
吉林省交通运输厅
黑龙江省交通运输厅
上海市交通委员会
西藏im电竞
浙江省交通运输厅
安徽省交通运输厅
福建省交通运输厅
江西省交通运输厅
山东省交通运输厅
河南省交通运输厅
湖北省交通运输厅
湖南省交通运输厅
重庆市交通运输委员会
甘肃省交通运输厅
江苏省交通运输厅
广东省交通运输厅
海南省交通运输厅
四川省交通运输厅
贵州省交通运输厅
云南省交通运输厅
青海省交通运输厅
西藏自治区交通厅
甘肃省交通运输厅
宁夏回族im电竞
新疆维吾尔im电竞
im电竞-im电竞app-im电竞平台
广西壮族自治区发展和改革委员会
南宁市人民政府网
柳州市人民政府网
桂林市人民政府网
梧州市人民政府网
北海市人民政府网
防城港市交通人民政府网
钦州市人民政府网
贵港市人民政府网
玉林市人民政府网
百色市人民政府网
贺州市人民政府网
河池市人民政府网
来宾市人民政府网
崇左市人民政府网
广西壮族自治区港航发展中心
广西壮族自治区道路运输发展中心
广西壮族自治区公路发展中心
广西壮族自治区高速公路发展中心
广西壮族自治区交通运输工程质量监测鉴定中心
广西交通职业技术学院
广西交通高级技工学校
南宁市交通运输局
柳州市交通运输局
桂林市交通运输局
梧州市交通运输局
防城港市交通运输局
钦州市交通运输局
贵港市交通运输局
玉林市交通运输局
河池市交通运输局